![]() |
||||||||||||||||||||||
ГЛАВА 5. Устойчивость |
||||||||||||||||||||||
| 5/1. Устойчивость | 5/3. Состояния равновесия. Простейший случай имеет место тогда, когда состояние и преобразование связаны между собой так, что преобразование не заставляет состояние изменяться. Алгебраически это означает, что
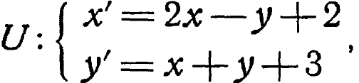
то T(b) = b и состояние b есть состояние равновесия для Т. Так же обстоит дело с состояниями е и f. Если состояния определяются векторами, то, чтобы вектор не изменялся, каждая составляющая должна оставаться неизменной (согласно 3/5). Так, если состояние есть вектор (х,у), а преобразование имеет вид
то в состоянии равновесия вектор (х', у') должен равняться вектору (х, у) и значения х и у должны удовлетворять уравнениям
т. е.
Следовательно, эта система имеет только одно состояние равновесия, а именно (-3, -1). Если бы уравнения не были линейными, состояний равновесия могло бы быть больше. Точно то же состояние (-3,-1), конечно, можно было бы получить, используя то обстоятельство, что в состоянии равновесия изменение каждой составляющей должно равняться нулю. Это условие дает х' - x = 0, у' - y = 0, что ведет к тем же самым уравнениям, как и раньше. В случае дифференциальных уравнений требование,чтобы х не изменялось со временем, равносильно требованию, чтобы dx/dt равнялось нулю. Например, в системе
состояние (1/2, 1) есть состояние равновесия, так как при этих значениях переменных х и у все производные равны нулю и, следовательно, система перестает двигаться. Упр, 1. Докажите, что U изменяет (-3, -1) в (-3, -1). Упр, 2. Имеет ли система из последнего абзаца другие состояния равновесия, кроме (1/2,1)? Упр, 3. Найдите все состояния равновесия преобразования
Упр. 4. Найдите все состояния равновесия преобразования
Упр. 5. Пусть х' = 2х - у + j, у' = х + у + k; найдите значения j и k, дающие состояние равновесия при (1,1). (Указание: сначала запишите уравнения в таком виде, чтобы они изображали состояние равновесия.) Упр. 6. Если T(b)=b, то должны ли Упр. 7. Может ли абсолютная система иметь больше состояний равновесия, чем она имеет бассейнов? Упр. 8. Как выглядит кинематический график при преобразовании, у которого все состояния являются состояниями равновесия? Упр. 9. (Продолжение.) Какое особое название было дано такому преобразованию в одной из предшествующих глав? Упр. 10. Если преобразование изменится (а множество операндов останется прежним), то изменятся ли состояния равновесия? Упр. 11. Если изменится вход машины, то изменятся ли ее состояния равновесия? (Указание: см. упр. 5.) |
|||||||||||||||||||||
| 5/2. Инварианты. | ||||||||||||||||||||||
| 5/3. Состояния равновесия. | ||||||||||||||||||||||
| 5/4. Цикл | ||||||||||||||||||||||
| 5/5. Устойчивые области | ||||||||||||||||||||||
| 5/6. Возмущения | ||||||||||||||||||||||
| 5/7. Динамическая система | ||||||||||||||||||||||
| 5/9. Непрерывная система. | ||||||||||||||||||||||
| 5/10. Положительная обратная связь. | ||||||||||||||||||||||
| 5/11. Нежелательная устойчивость. | ||||||||||||||||||||||
| 5/12. Равновесие в части и в целом | ||||||||||||||||||||||
| 5/13. Право вето | ||||||||||||||||||||||
| 5/14. Гомеостат | ||||||||||||||||||||||
| 5/15. Итоги | ||||||||||||||||||||||
![]() |
||||||||||||||||||||||